my Garmin Xero C1 with the latest updates computes the SD wrong
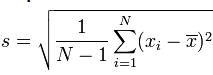
the formula for a "sample of shots" should be

instead they use the formula for the "population of shots" as if there are no more of those shots to be ever fired.

note: x̄ and μ are the same value, the average (aka mean) of the velocities
the formula for a "sample of shots" should be

instead they use the formula for the "population of shots" as if there are no more of those shots to be ever fired.

note: x̄ and μ are the same value, the average (aka mean) of the velocities




















































